Модели развития рынка
Модели развития рынка;
Лекция 1.3. Модели развития рынка. Позиционирование на рынке.
Определение рынка зависит от поставленной цели — упрощения понимания или, наоборот, глубинного рассмотрения как экономического феномена современного хозяйствования. Являясь ключевым элементом рыночной экономики, рынок претерпевает в различных странах определенные трансформации как по уровню зрелости, степени развития, так и по особенностям модификации, социальным, историческим и иным условиям, определяющим его функционирование.
В частности, японская модельрынка тяготеет к «корпоративному патернализму» (от лат. paternus — отцовский) как форме социально-экономической политики, выражающейся в заботе собственника или администрации компании о нуждах трудящихся. Система «отцы — дети» требует беспрекословного подчинения, преданности и лояльности работника администрации интересам фирмы. Любой акт протеста рассматривается как нарушение «долга верности» и ведет к увольнению.
Отечественные экономисты (А.Вишневский — ИНХП РАН) считают, что бывший СССР также являлся патерналистским государством со сложившимся в годы индустриализации, тоталитарным режимом. В эти годы государство взяло на себя защитные функции слишком быстро разрушенной крестьянской семьи, введя систему дотирования на нужды социальной сферы. Но это осуществлялось за счет бесправия крестьянства в угоду интересов меньшинства — горожан.
Американской моделисвойственна тяга к классической — инициативной схеме рыночной экономики (от франц. initiative, лат. initium — начало, как внутреннее побуждение к новым формам деятельности, предприимчивость).
Французскаятяготеет к государственному «дирижизму» (от франц. diriger — управлять), как форма управления, основанная на отражении в системе личностных особенностей руководителя, понимании им сущностных характеристик нововведений.
В основе немецкой рыночной экономикилежит «социальное рыночное хозяйство», ключевыми элементами которого являются «свобода потребления» и «принудительное распределение». Автор этой модели Л.Эрхард вполне обоснованно считал, что экономическая свобода заключается в свободе потребления, так как распределение по природе своей принудительно всегда. Это справедливо, ибо тот, на кого направлено это распределение, выступает в роли объекта, но никогда не субъекта, и, естественно, он несвободен.
Фактически по пути социального рыночного хозяйства сегодня следует вся Европа, и суть этого явления заключается в дополнении государством своей политикой работы рынка. Впервые эту модель на практике применил канцлер Бисмарк после кризиса 1873 г., когда все расширяющаяся бедность населения страны угрожала общественным устоям и давала социалистам Германии возможность взять власть. Таким образом, сильная социально-экономическая политика возникает в условиях нестабильности государства.
Создание «государства благосостояния» — «Welfare state» предполагает решение вполне реальных задач на уровне государства: принятие ответственности за благополучие населения в таких сферах, как социальное страхование, здравоохранение, образование, жилищное строительство, условия труда, т.е. большинство инфраструктуроформирующих градообразующую составляющую социально-хозяйственных образований.
Разноплановое отношение к формам проявления рынка в различных странах, тем не менее, позволяет констатировать наличие общих признаков, базирующихся на принятии соответствующих решений на основе децентрализации управления. Большинство американских исследователей выделяют следующие родовые признаки совершенного рынка:
— регулярный спрос на товары и услуги;
— мобильность факторов производства;
— наличие свободной конкуренции;
— информационное обеспечение участников рынка;
— неограниченное число участников.
Но это свободный рынок, на котором устанавливается одна и та же цена на один и тот же продукт в одно и то же время. Добиться выполнения названных условий практически невозможно, и на практике мы имеем дело с конкурентным рынком, который в свою очередь требует многообразия форм собственности (государственной, акционерной, частной, кооперативной), наличия рыночной инфраструктуры (рынка товаров и услуг, финансового рынка, рынка факторов производства).
Говоря о сущностной характеристике рынка, следует отметить, что мировая экономическая мысль мира дала множество определений рынка, которые можно свести к следующим.
Рынок есть соединение спроса и предложения.И это правильно, так как ключевыми понятиями рынка являются спрос, предложение, цена. Однако такое определение не раскрывает содержательных свойств рынка и является упрощенным. Другое определение рассматривает рынок как форму общественной связи между людьми, основанную на взаимной купле-продаже товаров.Здесь понятийный аппарат расширяется в связи с появлением персоналий, что позволяет рассматривать рынок как сферу экономических отношений индивидов, а не только как соотносительные пропорции спроса и предложения. Наиболее часто употребляется определение рынка, данное классиками рыночной экономики мира М.Фридменом, П.Самуэльсоном и др. игласящее, что рынок — совокупность отношений свободного обмена товарами и услугами между независимыми продавцами и покупателями.Данное определение достаточно просто и емко по содержанию, так как акцентирует внимание на приоритете свободных отношений обмена, с одной стороны, с другой — вводит в содержательную часть понятия рынка категорию «услуга». В этой связи хотелось более подробно остановиться на «ключевых» категориях данного определения, а именно: свобода, обмен, услуга. Категория «свобода», введенная в определение понятия рынка, для нашего государства не есть отвлеченная абстракция, а вполне осознанная реальность современного и будущего бытия. Много лет наша страна жила в условиях «принудительно направляемого хозяйства», или системы «государственного всеобщего снабжения», которое обычно называют «административно-командной системой».
Рыночная экономика
Экономика любого государства представляет собой систему сложных взаимосвязанных процессов, институтов и управленческих решений, характеризующихся определёнными признаками и особенностями, которые определяют модель экономической системы.
Рыночная экономика – определение термина
Рыночной называют экономическую модель, основанную на свободе предпринимательской деятельности, праве частной собственности, рыночном построении цен путем нахождения пересечения кривых спроса и предложения, то есть целью функционирования субъектов рыночной экономики является получение выгоды, при этом риски деятельности субъект несет и покрывает самостоятельно.

Рынок предлагает множество вариантов продукции, работ и услуг для потребителя, который свободен в своем выборе. Для производителя модель рыночной экономики предлагает условия конкуренции с иными производителями аналогичной продукции. Издержки производства ложатся на самого производителя, но и цену производитель формирует на основании своего суждения. Полученные средства (доход) производитель также распределяет самостоятельно. В рыночной модели экономики роль государства как регулятора очень ограничена.
Так как выбор товаров, работ либо услуг широкий для потребителя, между производителями возникают отношения конкуренции – основополагающие при рыночной модели экономики. Также базой будет являться право собственности, гарантирующее свободу от вмешательства посторонних лиц.

Рыночная экономика – основные черты и признаки
Основополагающими характеристиками модели данного типа экономики являются:
- Право частной собственности как гарантия невмешательства государства и иных лиц.
- Право на осуществление предпринимательской деятельности – оно есть у каждого субъекта, и он может самостоятельно выбрать и заниматься каким-либо видом деятельности, при этом его издержки относятся ему на расходы и субъект самостоятельно распределяет полученный доход.
- Выбор потребителя, его спрос будет являться решающим фактором для производства товара либо оказания услуги.
- Цена формируется за счет нахождения точек пересечения кривых спроса и предложения на рынке. Регулирование цен на продукцию со стороны государства не предусматривается, при рыночной экономике рынок регулирует себя самостоятельно.
- При свободном выборе покупателя – что ему приобретать, а также при свободе выбора вида деятельности производителем, возникают отношения конкуренции, являющиеся отличительной чертой рыночной модели экономики.
- Государство не устанавливает цены на продукцию, услуги, и не является главным регулятором при рыночной экономике.
Рыночная экономика – показатели развития
- Рост валового внутреннего продукта в пределах 2-3%.
- Низкий уровень инфляции и инфляционных ожиданий.
- Дефицит госбюждета в пределах 9%.
- Низкий уровень безработицы (до 6%).
- Положительное сальдо платежного баланса.

Особенности построения рыночной экономики в России
Экономика России ранее существовала в рамках административной модели, характеризующейся централизацией всех процессов, наличием мощного регулятора в виде государственных органов, установлением цен на определенном уровне регулятором, системой планирования. С момента распада СССР, Россией принят курс на построение экономической модели рыночного типа для вывода экономики из состояния спада.
Кардинальное изменение экономической модели развития не могло не отразиться на таких сферах, как политика, госрегулирование, социальная сфера.
Помимо затяжного спада в экономике, предпосылками перехода к рыночной системе стали:
- наличие жесткого государственного регулирования экономики привело к образованию большой доли теневого сектора экономики;
- малая экономическая активность субъектов экономики в связи с тотальным регулированием всех сфер деятельности;
- формирование неверной структуры отраслей экономики, неориентированных на бытовое обслуживание, а на обслуживание и производство в сфере военной промышленности;
- отсутствие условий свободной конкуренции, монополистические явления во многих отраслях привели к неконкурентоспособности производимых товаров;
- совокупность данных факторов привела к кризису экономической системы, который, в свою очередь, затронул политическую, социальную систему.

Мероприятиями по переходу к рыночной экономической модели стали:
- Приватизация имущества, ранее монопольно принадлежащего государству.
- Возникновение самого стабильного слоя населения – среднего класса.
- Формирование связей с внешним миром на уровне политики и экономики.
- Создание организаций совместной формы собственности – между государственным и частным сектором, с привлечением внешнеэкономических инвестиций.
- Формирование устойчивых международных связей.
Рыночная экономика – способы перехода
Для окончательного формирования рыночной модели, следует определиться со стратегией перехода к ней:
- Постепенное, последовательное проведение реформ и изменений, при котором происходит замена институтов. Характеризуется постепенным ослаблением регулирования ценообразования, экономики, социальной сферы государством.
- Шоковая терапия – когда изменения не происходят поэтапно, а экономика отпущена «в свободное плавание», с минимальным госрегулированием. Рынок, как самый экономически эффективный инструмент, сам отрегулируется. Расходы государства резко снижаются, а ценообразование происходит рыночным методом.
§13. Рыночные структуры. Модели современного рынка ИСТОРИЧЕСКАЯ ЭВОЛЮЦИЯ РЫНОЧНЫХ СТРУКТУР
товарные, финансовые, а также специализированные. В свою очередь, товарные рынки делятся на рынки средств производства, потребительских товаров, информационных технологий, интеллектуального труда и рабочей силы. Финансовые рынки делятся на валютный, рынок капиталов, кредитный и т. д. Особую группу составляют рынки в сельском хозяйстве.
Главным двигателем рынка является конкуренция. Именно жёсткая конкуренция подталкивает фирмы к непрерывному изобретательству, инновациям, организационным и управленческим новинкам, повышению производительности труда.
ЧЕТЫРЕ МОДЕЛИ РЫНКА
Рынок всегда неоднороден. На нём действуют различные фирмы, которые находят свою нишу в производстве товаров, услуг, их реализации. Различают четыре модели рынка: рынок совершенной конкуренции; чистая монополия; монополистическая конкуренция; олигополия.
Рынок совершенной (свободной) конкуренции предполагает неограниченное число участников конкуренции, абсолютно свободный доступ на рынок и такой же выход из него. Признаком свободной конкуренции является также однородность одноимённых товаров. Это выражается, например, в отсутствии торговых марок. В реальной хозяйственной практике рынок совершенной конкуренции практически не встречается. Однако утверждать, что большинство рынков в странах с развитой экономикой не испытывают благотворного влияния конкуренции, нельзя. Рыночные структуры, сложившиеся там и не попадающие под определение совершенного рынка, тем не менее успешно функционируют в конкурентном режиме.
Чистая (абсолютная) монополия существует тогда, когда фирма является единственным производителем продукта, не имеющего аналогов. Этой модели присущи следующие черты:
•единственный продавец, отрасль — синоним фирмы, поскольку фирма одна;
•реализуемый продукт уникален в том смысле, что нет хороших или близких его заменителей (такая ситуация характерна
• монополист обладает рыночной властью, контролирует цены, поставки на рынок, иначе говоря, если в модели совершенной конкуренции фирма с ценой на рынке «соглашается», то здесь фирма просто определяет её;
• на пути входа в рынок монополистом устанавливаются непреодолимые для конкурента барьеры как естественного, так и искусственного происхождения. В первом случае говорят о естественных монополиях. Это предприятия общественного пользования — электрические и газовые компании, предприятия водоснабжения, линии связи, транспортные предприятия и др.
Монополистическая конкуренция — это такая рыночная ситуация, при которой относительно большое число производителей предлагает похожую, но не идентичную продукцию.
Другая важная характеристика рынков монополистической конкуренции — это относительная лёгкость вступления в рынок. Поэтому на этом рынке действует множество мелких и средних фирм. Монополизм состоит в том, что каждая фирма в условиях дифференциации продукции обладает в некоторой степени монопольной властью над своим товаром, т. е. она может повышать или понижать цену на него вне зависимости от действий конкурентов. Конечно, эта возможность ограничивается как наличием производителей аналогичных товаров, так и значительной свободой «входа» в отрасль. Таким образом, эта модель характеризуется высоким уровнем конкуренции. Такие рынки существуют во многих развитых странах.
Рынок олигополии характеризуется небольшим количеством участников конкуренции, когда на рынке товаров и услуг незначительное чисдо фирм.
Чётких границ между различными моделями рынка нет, поэтому модель олигополии охватывает область от чистой монополии до монополистической конкуренции. Классические олигополии образуются тремя—пятью производителями. Например,

• свободная (совершенная) конкуренция • абсолютная монополия
• монополистическая конкуренция • олигополия
1. Охарактеризуйте рынок свободной конкуренции.
2. При каких условиях формируется рынок абсолютной монополии?
3. Что такое олигополия? Приведите примеры действий на рынке предприятий, образующих олигополию.
4. В. чём отличие между абсолютной монополией и монополистической конкуренцией?
5. Какой из видов конкуренции наиболее благоприятен для развития рынка?
Модели развития сотового рынка


Моделирование развития рынков позволяет эффективно определять потенциальную емкость рынка или его сегмента, составлять краткосрочные и среднесрочные прогнозы развития рынка, компании или отдельного товара с учетом условий конкурентной среды. Это важный этап в процессе выработки оптимальной ценовой стратегии предприятия и принятия оперативных решений.
Практическое применение модели продемонстрировано на примере рынка сотовой связи стандарта GSM Челябинской области.
Модель развития сотовых компаний Челябинской области
На динамику развития конкурентного рынка влияет целый ряд факторов: цена и качество услуг, эффективность и разветвленность каналов распространения, прямая (от производителя к потенциальному потребителю) и косвенная (от реального потребителя к потенциальному) реклама и т.д.
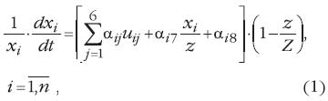
Для моделирования рынка сотовой связи региона, на котором работают несколько операторов, предлагается система нелинейных уравнений:

где n – число операторов на рынке (для Челябинской области n = 5);
Z – число потенциальных абонентов в регионе;
xi – число абонентов i-го оператора;

uij – управляющие воздействия оператора на рынок Z.
Произведем процедуру идентификации параметров модели (1) в математическом пакете MatLab на примере рынка сотовой связи стандарта GSM Челябинской области (рис. 1).
В качестве управляющих воздействий i-го оператора использованы следующие показатели: абонентская плата; стоимость минуты телефонного разговора – внутрисетевого, на телефоны других сотовых операторов и абонентам ГТС; разветвленность сети распространения; зона радиопокрытия (соответственно ui1 – ui6). Значения первых четырех параметров отнесены к средней стоимости соответствующей услуги по рассматриваемым операторам.
Квадратную скобку в уравнении можно интерпретировать как влияние каждого оператора на рынок. Таким образом, параметры αij , j=1,6 определяют степень влияния на рынок соответствующих управляющих воздействий, αi7 – влияние текущей доли рынка компании, αi8 – влияние прочих аспектов деятельности оператора, определяющих выбор абонента (реклама, качество управления и т.д.).

Доходы, операционные затраты и прибыль оператора определяются как v = αi9 × xi, ci = αi10 × xi и svi = vi — ci соответственно, где ARPU ( αi9) и затраты оператора в расчете на одного абонента ( αi10) нормированы по средним показателям рынка.

Значения реальных управляющих воздействий uij, i =1,5, j = 1,6 определены на основе экспертных оценок.
На рис. 2 приведены результаты аппроксимации изменения числа абонентов GSMоператоров за апрель–октябрь 2004 г. с использованием рассматриваемой модели. Предполагалось, что в течение этого периода все коэффициенты ij оставались неизменными. Точность аппроксимации для участников челябинского рынка составила: Utel – 0,6%; МТС – 1,6%; «Билайн» – 2,2%; «МегаФон» – 3,6%; Tele2 – 18% (здесь и далее все исходные расчетные данные по компаниям «МегаФон» и Tele2 имеют оценочный характер).
Влияние управляющих воздействий каждого оператора на местный рынок с начала 2005 г. стабилизировалось (рис. 3). Абсолютные значения параметров модели у всех перечисленных компаний близки, что обусловлено одинаковой реакцией потребителей на их управляющие воздействия.

Прогнозирование числа абонентов
Сопоставление краткосрочного прогноза (при условии сохранения существующего соотношения цен и потребительских свойств услуг операторов) с фактическими данными показало, что ошибка в интервале июнь–август 2005 г. составила для Utel – 1,7%; МТС – 1,1%; «Билайн» – 4,2%; «МегаФон» – 8,2%; Tele2 – 5,8% (рис. 4).
Отклонение фактических значений от краткосрочного прогноза на 3–6 месяцев с использованием нестационарной модели (1) для абонентской базы на рынке Челябинской области в целом (все кривые) составляет 0,5%.
Прогнозирование финансовых показателей оператора
Воспользуемся нашей моделью (1) для прогнозирования доходов, операционных затрат и чистой прибыли одного из участников рынка Челябинской области с учетом двух возможных сценариев развития этого рынка: 1) сохраняется существующее соотношение цен и потребительских свойств услуг различных операторов; 2) стоимость внутрисетевых вызовов снижается на 15% при сохранении тарифов остальными участниками рынка.

Объем абонентской базы исследуемого оператора при первом сценарии будет соответствовать прогнозу, а ежемесячный доход возрастет за 1,5 года на 17%. Во втором случае возможны два варианта развития событий: при сохранении уровня ARPU число абонентов вырастет на 4% по сравнению с прогнозом, доходы оператора – на 22%, а при снижении ARPU на 2% доходы увеличатся на 18%. Чистая прибыль при обоих рассматриваемых сценариях совпадает, если ARPU оператора снижается в течение года не более чем на 1%.
Исходные данные и точность моделирования
При моделировании развития произвольного регионального рынка сотовой связи с использованием системы уравнений (1) величина ошибок аппроксимации, шаг и точность прогнозирования определяются объемом и дискретностью исходной информации. В рассмотренном примере прогнозирования сотового рынка Челябинской области была использована ежемесячная статистика Ассоциации российских операторов стандарта GSM за период с января 2004 г. по август 2005 г. Прогнозирование развития операторов основывается на предположениях о возможных пределах изменений управляющих воздействий uij и тенденциях изменения параметров αij по реализовавшимся значениям.

Моделирование изменения числа абонентов тарифного плана
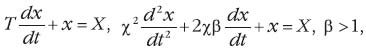
Для моделирования изменения числа абонентов по отношению к отдельным тарифным планам (рис. 5, 6) пользуются также следующими уравнениями*:
(2)
где x – число абонентов на тарифном плане;
X – емкость рынка для данного тарифа;
x, β – постоянные, определяющие характер роста объема подключений для данного тарифного плана.
Определение и уточнение параметров модели (2) в ходе реализации услуг имеет определяющее значение для составления наиболее точного прогноза развития рынка и по мере поступления информации о текущем числе абонентов производится аналогично идентификации параметров первой модели. В начале реализации тарифного плана емкость рынка для соответствующего предложения задается на основании экспертных оценок.

Сопоставление прогнозируемых результатов, полученных с помощью уравнений (2), с реальными данными об объемах продаж одного действующего тарифного плана (рис. 5) и одного закрытого на подключение (рис. 6) показало: несмотря на изменение ситуации на челябинском сотовом рынке, ошибка прогнозирования на краткосрочную перспективу (2–4 месяца) составила 3–5%.
При более длительном временно’м интервале отклонение реального развития событий от прогнозируемого объясняется изменением тарифной политики с целью повышения привлекательности компании (на рис. 5 это произошло после 380-го дня, на рис. 6 – после 210-го и 560-го дня). В результате меняется потенциальная емкость рынка для данного тарифного плана. Изменение может происходить как в большую (улучшаются условия обслуживания на данном тарифе), так и в меньшую (появляется новый тарифный план) сторону, что влияет на динамику привлечения абонентов. Потенциальная емкость тарифного плана (рис. 6) по результатам продаж в первые 200 дней оценивалась на уровне 200 тыс. абонентов при x = 130 и β= 3, а на 210-й день после модернизации тарифного плана емкость рынка для данного тарифа составила 250 тыс. человек, x= 150, β= 2,2.
Таким образом, на каждом этапе реализации услуги (тарифного плана) предложенный метод позволяет оценивать потенциальную емкость тарифного плана, а статистика по ARPU дает оценку потенциальных доходов.
Предложенная модель (1) конкурентного рынка позволяет прогнозировать его изменение на краткосрочную и среднесрочную перспективу, в том числе при различных сценариях развития. С помощью модели (2) изменения числа абонентов тарифных планов можно адекватно оценивать потенциальную емкость рынка для тарифных планов.
Таким образом, обе модели в совокупности дают полную картину развития финансовых показателей деятельности конкретного оператора и могут быть использованы для моделирования, анализа и прогнозирования конкурентных рынков различных товаров и услуг длительного пользования в различных отраслях.
